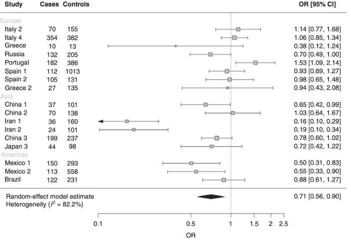
作为常见的恶性肿瘤之一,胃癌是2020年全球癌症死亡的第四大原因。因为饮食和感染的原因,我国更是胃癌大国,发病率和死亡率居高不下,防治胃癌任重道远。日常生活中,有哪些值得我们注意呢? 胃癌的发生和很多因素有关,已经确定的风险因素包括微生物感染和不良饮食习惯。 微生物感染。很多研究证实,幽门螺旋杆菌感染会增加胃癌风险,是I类致癌物。在中国感染率高,城市居民有47%,农村居民更是高达66%。当然,并不是说感染了幽门螺旋杆菌一定会得胃癌,而是感染会增加得胃癌的风险。及时根除感染,则能有效降低胃癌的风险。 不良饮食习惯。长期食用高盐饮食、烟熏烧烤油炸食物、加工肉类,食用霉变食物,以及饮酒和抽烟,都会增加胃癌风险。 因此,想要降低胃癌风险,日常生活中我们还是可以做很多: 检查幽门螺旋杆菌,有感染了及时根治; 健康饮食:不要吃得太咸,少吃加工肉类和霉变食物; 戒烟,少饮酒; 多吃蔬果。 除了这些,还有一个传闻:多吃葱蒜等辛辣食物,能降低胃癌风险。这是真的吗?最近发表在《英国癌症杂志》上的一篇文章(图1)详细研究了这个问题。小编今天带大家来看一看。 图1.葱类食物的摄入和胃癌风险的荟萃研究1 来自意大利的研究者们收集了17个相关研究的数据,这些研究覆盖的地域广泛,来自希腊、意大利、西班牙、葡萄牙、俄罗斯、伊朗、中国、日本、墨西哥、巴西等全球各个地方。一共有6097名胃癌患者和13017名对照。大约56%的病例来自欧洲,30%来自亚洲,14%来自美洲。胃癌组和对照组的年龄分布相似。与对照组相比,胃癌组男性居多,吸烟饮酒更多,水果和蔬菜吃得更少,更常有胃癌家族史。 这些人群的饮食习惯数据是通过食物频率调查表来收集的,其中葱类食物包括葱、蒜、韭菜和洋葱。患者的饮食数据搜集于诊断和入院至少一年前。 研究者发现,多吃葱类食物,和较低的胃癌风险相关(图2)。 图2. 葱类食物的摄入对胃癌风险的影响。OR越小,风险越低 不同地理区域存在明显异质性,这可能混杂了其他因素的影响,比如葱类食物的加工和食用方式(生吃还是熟吃)。不过,整体而言,葱类食物的摄入多,胃癌的风险低,并且在亚洲人群里表现得更为明显(图3)。 图3. 葱类食物的摄入量(横轴)和不同地区人群(A:欧洲 B:亚洲 C:美洲)的胃癌风险(纵轴) 葱类食物的抗癌作用主要归因于各种有机硫化合物,主要是烯丙基衍生物。在动物研究中,人们发现有机硫化合物对前胃癌有抑制作用。 葱类食物可能通过以下几个机制发挥抗癌作用: 加强能够让致癌物失活的代谢酶的活性; 抑制DNA加合物的形成; 通过细胞凋亡和改变细胞周期来抑制细胞增殖和肿瘤生长; 对抗幽门螺旋杆菌感染。目前对于这种说法的研究结论并不一致,有的研究发现补充大蒜素能提高幽门螺旋杆菌的根除率,而有的研究并没有发现这种关联,还需要更多研究来证实或者证伪这一假说。 尽管目前支持葱蒜类食物抗胃癌这一说法的大多数只是相关性的证据,因果性的证据还比较有限,不过如果你不是特别讨厌这一类食物,还是可以试着多吃一点,没准葱蒜真的能抗癌呢。另外,加热通常会破坏有机硫化合物,所以,如果不排斥葱蒜类食物的辛辣味道,也可以尝试生吃。当然最重要的,还是戒烟戒酒,保持健康的饮食和生活习惯。哪些因素导致胃癌?
如何降低胃癌风险?

多吃葱蒜有什么好处?


葱蒜里的什么物质能抗胃癌?














































