维生素C,也称为抗坏血酸,是一种水溶性维生素,对人体健康至关重要,包括增强免疫系统、维持皮肤和骨骼健康、抗氧化等。维生素C主要存在于新鲜水果和蔬菜中,尤其是柑橘类水果、草莓、猕猴桃、西红柿、甜椒和绿叶蔬菜。
消化系统癌症(DSC),是一组影响消化系统器官的恶性肿瘤,包括消化道癌症和消化附属器官癌症。DSC是全球主要的健康问题,也是癌症相关死亡的主要原因之一。在中国,这一组疾病的发病率和死亡率都很高。
早期的研究显示,维生素C可能在预防DSC中发挥作用,但维生素C在不同消化系统癌症中的作用并不一致,并且与消化系统癌症发病率之间的剂量反应关系仍存在争议。
近日,浙江大学的研究人员在" Food & Function "期刊上发表了一篇题为" Association between dietary vitamin C intake/blood level and risk of digestive system cancer:a systematic review and meta-analysis of prospective studies "的荟萃分析。
研究显示,较高的维生素C摄入量与消化系统癌症风险降低12%相关,而高水平的血液维生素C与胃癌风险降低26%相关。
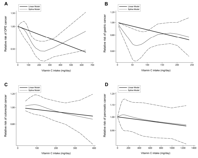
剂量分析发现,每天摄入250毫克和65毫克维生素C,对口腔、咽喉及食管癌(OPE)和胃癌的保护作用最强。
在这项研究中,研究人员荟萃分析了32项前瞻性研究,共纳入1664498名参与者,分析了维生素C的摄入量以及血液水平与消化系统癌症风险之间的关系,并分析了维生素C降低癌症发病率的最佳剂量。
总的来讲,在32项研究中,有26项评估了维生素C摄入量与消化系统癌症风险之间的关联,2项评估了血液中维生素C水平与消化系统癌症风险之间的关联,4项研究同时评估了维生素C摄入量和血液中维生素C水平对消化系统癌症风险的影响。
研究发现,较高的维生素C摄入量有助于降低DSC风险,与维生素C摄入量最低相比,维生素C摄入量最高的人,与患消化系统癌症的风险降低12%相关。
对不同类型的消化系统癌症分析发现,较高的维生素C摄入量,与口腔、咽喉及食管癌(OPE)风险降低19%相关,尤其是口腔癌,风险降低54%;与胃癌风险降低19%相关;与结直肠癌风险降低11%相关。

此外,研究人员还分析了血液中维生素C水平与消化系统癌症的关联,分析发现,血液维生素C水平仅与胃癌风险呈负相关,较高的血液维生素C水平与胃癌风险降低26%相关。

剂量反应分析显示,对于口腔、咽喉及食管癌(OPE),维生素C摄入量与OPE风险呈 U 型关联,每天摄入250 mg时,OPE癌症风险最低。当维生素C摄入量在每天0-250 mg时,每天每增加100 mg与OPE癌症风险降低12%相关。
对于胃癌,也呈 U 型关联,每天摄入65 mg时,胃癌风险最低。但需要强调的是,每天摄入量在240 mg以内,均能降低胃癌发病率,但降低的效果不同。
在结直肠癌中,存在倒 U 型关联,维生素C摄入量每天在90-394 mg内,结直肠癌风险呈下降趋势。在胰腺癌中,也存在倒 U 型关联,维生素C摄入量每天在100-1260 mg内,胰腺癌风险呈下降趋势。
总之,这项荟萃分析表明,维生素C摄入量可显著降消化系统癌症风险,包括OPE癌症、胃癌和结直肠癌,而血浆维生素C仅对胃癌发病率有显著降低作用。每天摄入250毫克和65毫克维生素C,对OPE癌症和胃癌的保护作用最强。
论文链接:
https://doi.org/10.1039/D4FO00350K





































