王建祥 教授 医保目录的更新使创新药物惠及CD30+淋巴瘤,BV作为高效低毒的药物,对患者而言,提高了CD30+淋巴瘤治疗效果,减轻了治疗相关副作用,改善了生活质量;对医生而言,面对高级别或复发难治CD30+淋巴瘤时,多了一个治疗选择,既可以单药也可以联合用药,既可以用于诱导,也可以桥接移植,治疗疾病可以更加得心应手。 金洁 教授 BV是一种ADC,具有独特的作用机制。较传统化疗,可以显著提升患者PFS率,降低进展/复发或死亡风险,有望实现延长患者生存时间且甚至达到治愈。进入医保后,可以降低使用门槛,普及更多患者,让老百姓用上好而不贵的药物。 黄慧强 教授 CD30在多种淋巴瘤均有表达,在高级别或复发难治CD30+淋巴瘤的既往治疗中,药物比较有限。维布妥昔单抗为CD30+淋巴瘤领域首个靶向药物,填补了CD30+淋巴瘤医疗保障空白。对延长患者PFS,提升生存质量,减轻多次复发患者的经济负担都有着十分重要的临床意义。 周道斌 教授 随着BV进入医保,药物可及性增强,更多中国CD30+淋巴瘤患者有望从BV中获得更加高效和安全性良好的治疗方案。维布妥昔单抗在中国人群中展开的真实世界研究效果优异,但希望能进一步扩大样本量,积累中国经验,进一步提高中国淋巴瘤患者的生存状况,为广大中国淋巴瘤患者带来更多获益。人命至重,有贵千金,一方济之,德逾于此。
CD30+淋巴瘤包括霍奇金淋巴瘤(HL)、间变性大细胞淋巴瘤(ALCL)等。传统化疗药物时代,高级别和复发难治CD30+淋巴瘤治疗选择有限,部分患者预后较差。自体干细胞移植(SCT)后复发或进展霍奇金淋巴瘤(RR cHL)患者中位总生存期(OS)仅为27.6个月1。仅接受化疗的复发难治系统性间变性大细胞淋巴瘤(RR sALCL)中位无进展生存期(PFS)和OS仅为1.8个月和3个月2。RR sALCL接受大剂量化疗联合SCT后3年PFS率为55%3,但毒性相关的死亡率高达33%4。
在新药时代,复发难治CD30+淋巴瘤亟需高效和毒性小的药物以提高疗效。
真实世界数据显示BV治疗CD30+淋巴瘤,疗效优异且安全性良好:
-
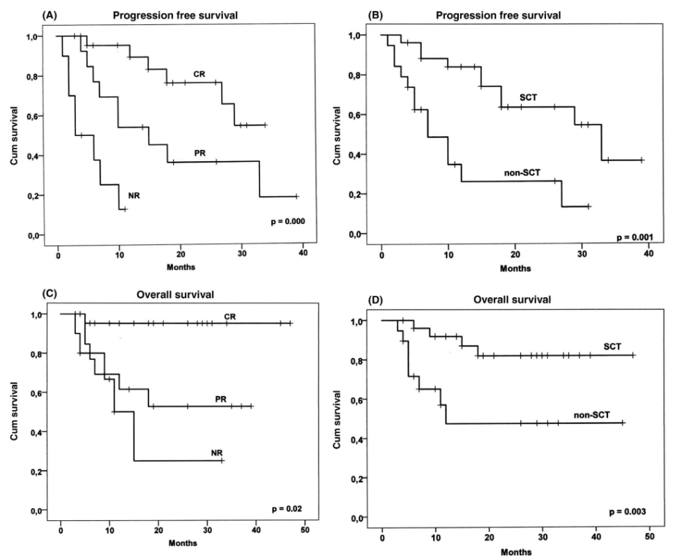
Maurizio Musso教授5回顾真实世界中BV联合苯达莫司汀(bendamustine,B)治疗RR cHL的疗效。研究共入组47例患者,中位BvB治疗周期数为4(2~7个),所有患者均可评价疗效。
结果显示,总缓解率(ORR)和完全缓解(CR)率分别为79%和49%,67%的缓解患者和2例疾病稳定患者继续接受SCT巩固治疗。中位随访19个月(5~47个月),中位PFS为18个月,2年OS率为72%。获得缓解的患者和接受SCT巩固治疗患者的PFS和OS较长(图1)。15例(32%)患者出现严重不良反应,常见不良反应为中性粒细胞减少(23%)、胃肠道反应(10%)、周围神经病变(11%)和感染(4%)。数据表明BvB方案具有高效低毒的特点,是RR cHL患者有效的挽救治疗和桥接移植方案。

图1 获得缓解的患者和接受SCT巩固治疗患者PFS和OS较长
-
J Scarisbrick教授6评估了真实世界中蕈样真菌病(MF)的治疗。研究纳入9个欧洲癌症研究和治疗组织(EORTC)中心的72例患者数据。72例患者均接受过至少1次全身治疗。结果显示67例患者中28例达到客观缓解持续4个月以上(ORR4),起效时间为8周,中位缓解持续时间为9个月。中位PFS为7个月(IQR 2-12),中位下一次治疗时间(TTNT)为30天。研究结果提示,对MF患者来说BV是一种有效的治疗选择。
-
Mark J Bishton教授7评估了BV单药治疗复发性sALCL的疗效,研究纳入127例患者,中位年龄60岁,18例(14.2%)患者在首次缓解时接受了干细胞移植。研究结果显示,中位2年OS率为46.6%,且绝大多数患者(59例)的死亡发生在18个月内,此后死亡病例数显著下降。二线接受BV治疗的患者与三线或四线接受BV治疗的患者相比,2年OS率显著提高(50.3% VS 29.7%,P=0.03)。Mark J Bishton的真实世界报告显示了BV治疗后的良好生存率,这与之前的临床试验数据相当;该报告同时显示患者越早使用BV,其生存获益越大。
2020年5月,BV正式在中国获批用于CD30阳性复发或难治性系统性间变性大细胞淋巴瘤(sALCL)、复发或难治性经典型霍奇金淋巴瘤(cHL)的成人患者治疗;2021年4月,获批用于CD30阳性既往接受过系统性治疗的原发性皮肤间变性大细胞淋巴瘤(pcALCL)或蕈样真菌病(MF)的成人患者治疗,BV为中国CD30+淋巴瘤患者带来了新的选择。基于其独特的作用机制,BV具有高效低毒的特性,并且已经被多项关键临床试验以及真实世界研究充分验证。此外,最新NCCN指南推荐BV作为RR sALCL的首选治疗药物、RR cHL的推荐治疗药物、以及CD30+MF和pcALCL患者系统治疗首选药物之一;2021版CSCO指南将BV作为RR sALCL治疗I级(1A)推荐。BV纳入国家医保目录后,提高了药物的可及性,减轻了患者的经济负担。
从临床试验到真实世界,从获批到进入医保,BV将在CD30+淋巴瘤的治疗中发挥越来越重要的作用,希望帮助更多血液病患者延长生命,提升生活质量,聚”利”新生,耀”适”而行。
王建祥 教授
-
中国医学科学院血液病医院(中国医学科学院血液学研究所)副所院长
-
国家血液病临床医学研究中心主任
-
中华医学会血液学分会前任主任委员
-
中国医师协会内科医师分会副会长
-
中国医师协会血液科医师分会副会长
-
J Hematol & Oncol (IF7.4) 副主编
-
Blood编委
-
中华血液学杂志主编(2012-2016)
-
中国抗癌协会血液肿瘤专委会 主任委员 (2012-015)
-
“杰青”、 “新世纪百千万人才工程”国家级人选、卫生部突贡专家、国务院特贴专家
-
白血病治疗领军人,预后分层、强化诱导、全程管理,显著改善了急性白血病的疗效
-
牵头制定了《急性髓系白血病》、《急性淋巴细胞白血病》、《慢性髓性白血病》多部诊治指南
-
NIH博士后杰出研究奖,第十届“吴阶平医学研究奖-保罗·杨森药学研究奖”一等奖,天津市科学技术进步奖一等奖 (第一完成人)
金洁 教授
-
医学博士,教授,博士生导师 -
享受国务院特殊政府津贴,全国卫生系统先进工作者
-
浙江大学医学院附属第一医院血液科名誉主任
-
浙江大学血液肿瘤(诊治)重点实验室主任
-
国家卫健委临床重点学科-浙一医院血液学科带头人
-
浙江省血液病临床医学研究中心主任
-
浙江大学癌症研究院恶性血液病基础与临床研究负责人
-
浙江省重点创新团队-白血病基础与临床研究创新团队带头人
-
中国女医师协会血液学专委会主任委员
-
抗癌协会血液疾病转化医学前任主任委员
-
CSCO中国抗白血病联盟副主任委员
-
中国医师协会血液学会常务委员
-
中国医师协会整合血液学会副主任委员
-
CSCO抗白血病联盟副主任委员
-
CSCO抗淋巴瘤联盟常务委员
-
海峡两岸血液学会常务委员
-
中国健促会血液学会常务委员
-
浙江医学会血液学分会前任主任委员
-
浙江省医师学会血液学分会会长
-
在Lancet Oncology、Cell、Blood、Leukemia、JHO等SCI收录杂志上发表学术论文270余篇,以第一获奖人获得国家科技进步二等奖1项、浙江省科技进步一等奖2项
黄慧强 教授
-
中山大学肿瘤防治中心大内科副主任
-
中山大学附属肿瘤医院淋巴瘤中心首席专家
-
中国老年健康协会淋巴瘤专业委员会主委
-
CSCO中国抗淋巴瘤联盟副主席
-
CSCO甲状腺癌专委会主委
-
中国抗癌协会淋巴瘤专业委员会副主委
-
中国抗癌协会淋巴瘤专业委员会青年委员会主委
-
广东省抗癌协会血液肿瘤专业委员会名誉主委
-
广东省中西医结合学会血液病专业委员会副主委
周道斌 教授
-
主任医师、博士生导师、北京协和医院血液科主任
-
北京血液学分会主任委员
-
中国医师协会血液科医师分会副会长
-
中国免疫学会血液免疫分会主任委员
-
中华医学会血液学分会常委
-
《中华血液学杂志》、《基础医学与临床》、《临床血液学杂志》等杂志编委
-
主要专业领域:血液肿瘤、造血干细胞移植
参考文献:
1.Crump M. Management of Hodgkin lymphoma in relapse after autologous stem cell transplant. Hematology Am Soc Hematol Educ Program 2008: 326-333. e-pub ahead of print 2008/12/17; doi: 10.1182/asheducation-2008.1.326
2.Mak V, Hamm J, Chhanabhai M, Shenkier T, Klasa R, Sehn LH et al. Survival of patients with peripheral T-cell lymphoma after first relapse or progression: spectrum of disease and rare long-term survivors. J Clin Oncol 2013; 31(16): 1970-1976. e-pub ahead of print 2013/04/24; doi: 10.1200/jco.2012.44.7524
3.Smith SM, Burns LJ, van Besien K, Lerademacher J, He W, Fenske TS et al. Hematopoietic cell transplantation for systemic mature T-cell non-Hodgkin lymphoma. J Clin Oncol 2013; 31(25): 3100-3109. e-pub ahead of print 2013/07/31; doi: 10.1200/jco.2012.46.0188
4.Le Gouill S, Milpied N, Buzyn A, De Latour RP, Vernant JP, Mohty M et al. Graft-versus-lymphoma effect for aggressive T-cell lymphomas in adults: a study by the Société Francaise de Greffe de Moëlle et de Thérapie Cellulaire. J Clin Oncol 2008; 26(14): 2264-2271. e-pub ahead of print 2008/04/09; doi: 10.1200/jco.2007.14.1366
5.Iannitto E, Romano A, Scalzulli PR, Bonanno V, Scalone R, Chiarenza A et al. Brentuximab vedotin in association with bendamustine in refractory or multiple relapsed Hodgkin lymphoma. A RETrospective real-world study. Eur J Haematol 2020; 104(6): 581-587. e-pub ahead of print 2020/02/29; doi: 10.1111/ejh.13400
6.Papadavid E, Kapniari E, Pappa V, Nikolaou V, Iliakis T, Dalamaga M, Jonak C, Porkert S, Engelina S, Quaglino P, Ortiz-Romero PL, Vico C, Cozzio A, Dimitriou F, Guiron R, Guenova E, Hodak E, Bagot M, Scarisbrick J. Multicentric EORTC RETrospective study shows efficacy of brentuximab vedotin in patients who have mycosis fungoides and Sézary syndrome with variable CD30 positivity. Br J Dermatol. 2021 Nov;185(5):1035-1044.
7.Halligan SJ, Grainge MJ, Martinez-Calle N, Fox CP, Bishton MJ. Population-based cohort study of the efficacy of brentuximab vedotin in relapsed systemic anaplastic large-cell lymphoma using Public Health England data. Br J Haematol 2022; 196(4): 932-938. e-pub ahead of print 2021/10/20; doi: 10.1111/bjh.17896
















