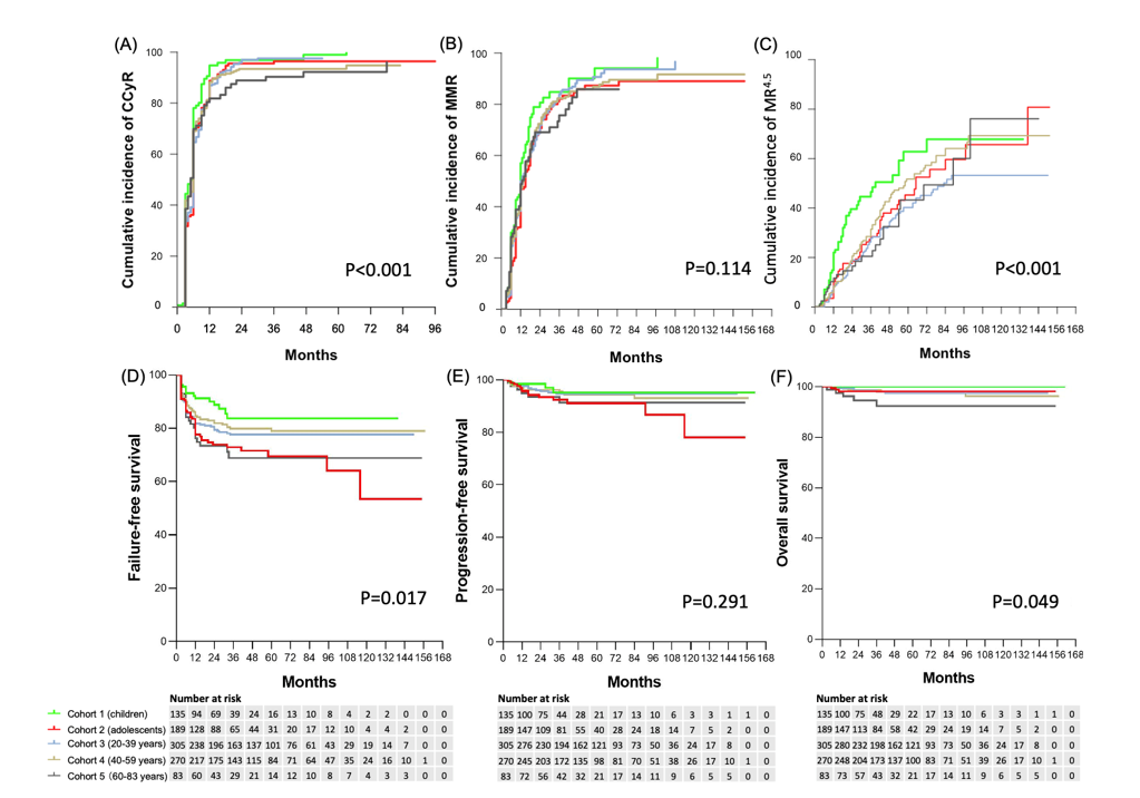
儿童和青少年慢性髓系白血病(CML)少见,年发病率约为0.07-0.22/10万,占该年龄阶段急性白血病的2-9%。由于病例数少,目前儿童和青少年的CML疾病管理大多需借鉴成人CML的管理经验。国外研究证实,儿童和青少年CML往往表现出更强的侵袭性特征,包括较高的白细胞计数、较高的血小板计数和巨脾,但这些侵袭性特征是否最终导致不良的治疗结局尚有争议,且以往研究主要集中在青少年,对更小年龄的儿童研究较少,也无将未成年CML患者做为整体进行分析。因此,儿童与青少年CML的临床特征和预后是否存在差异尚无数据。 江倩教授牵头的多中心回顾性研究,收集了2006年1月至2019年12月国内43家医院0-19岁诊断CML慢性期(CML-CP)并以伊马替尼作为一线治疗的未成年患者和北京大学人民医院血液科成人患者的临床资料。 本研究共纳入982例0-83岁CML-CP患者,重点关注儿童、青少年患者的临床特点、治疗反应和结局,及其与成人患者的差异。本研究结果已发表在《Annals of Hematology》杂志。 撰文 | 郑方圆、江倩 按诊断时年龄,将982例CML-CP患者分为五组:组1(儿童组,女孩0-8岁和男孩0-10岁,n=135,13.7%)、组2(青少年组,9-19岁女孩和10-19岁男孩,n=189,19.2%)、组3(20-39岁成人,n=305,31.1%)、组4(40-59岁,n=270,27.5%)、组5(>60岁,n=83,8.5%)。未成年组(组1和组2)的中位年龄为11岁(范围0-19岁),伊马替尼的中位初始剂量分别为:儿童组273mg/m2/d(范围100-384mg/m2/d),青少年组255mg/m2/d(范围154-388 mg/m2/d),成人组400mg/d(组3-5)。 (1)未成年组 vs.成人组 与成人CML相比,儿童和青少年CML更具有侵袭性的临床特征。与成人组相比,未成年组(儿童组、青少年组)存在更高的WBC计数(P<0.001)和PLT计数(P<0.001)、更高的脾肿大比例(P<0.001)、更低的Hb水平(P<0.001)和外周血嗜碱性粒细胞比例(P<0.001)等特征(下图) ○5组间诊断时血细胞计数和嗜碱性粒细胞比例 (2)儿童组vs.青少组 与儿童组相比,青少年组WBC计数(P=0.033)和外周血中嗜碱性粒细胞比例(P=0.002)更高,脾肿大比例(P=0.004)更高。 1、无治疗失败生存(FFS):与成人组相比,4年FFS率儿童组最高、青少年组最低(83.7% vs. 71.5% vs. 77.6% vs. 79.8% vs. 68.8%,P=0.017)。 2、无疾病进展生存(PFS):5组间无显著差异。 3、总生存(OS):组5(>60岁)显著低于其他组(100% vs. 98.2% vs. 97.4% vs. 98.1% vs. 92.3%,P=0.049)(下图)。 ○各年龄组的治疗反应率和结局 本研究显示,尽管儿童和青少年CML-CP患者在诊断时表现出更具侵袭性的临床特征,但治疗反应优于成人,青少年有较差的无治疗失败生存。 儿童血液主治医师 国家血液系统疾病临床医学研究中心 北京大学人民医院 北京大学血液病研究所 国家中心PI 、教授 主任医师、博导 国家血液系统疾病临床医学研究中心 北京大学人民医院 北京大学血液病研究所 参考文献:Dou X, Zheng F, Zhang L, Jin J, Zhang Y, Liu B, Meng L, Zhu X, Lu Z, Jia Y, Liu H, Lin H, Zhou L, Zhao X, Yang W, Sun H, Qian S, Ma H, Du X, Bai Q, Xu N, Meng F, Jia Z, Di H, Zhang L, Jiang Q. Adolescents experienced more treatment failure than children with chronic myeloid leukemia receiving imatinib as frontline therapy: a RETrospective multicenter study. Ann Hematol. 2021 Sep;100(9):2215-2228. 原文连接:https://pubmed.ncbi.nlm.nih.gov/34089385/ 患者特征
临床特征

治疗反应
结局




















