阿司匹林的防癌技能,终于又迎来重磅临床证据。
昨天,顶级医学期刊《柳叶刀》发表了英国纽卡斯尔大学John Burn教授团队的重要研究成果[1]:携带遗传性突变的肠癌高危人群,连续服用2年以上阿司匹林,能把肠癌的发病率降低50%;更厉害的是,阿司匹林的这种保护作用竟然能持续长达20年之久。

▲ 论文首页截图
说起阿司匹林防癌,大家千万不要以为是近年来才兴起的热门研究方向。
实际上,早在1988年,科学家就在病例对照研究中观察到了阿司匹林的防癌潜力[2]。从那以后就一发不可收拾。据不完全统计,有100多个观察性研究发现了阿司匹林的防癌作用[3,4]。
近年来,这个研究课题尤其火爆,有很多回顾性研究发现,阿司匹林的使用与癌症的发病率降低有关;还有很多基础研究发现了阿司匹林抗癌、防癌的分子机制。不过,也有很多研究发现二者之间没有关系。(想了解过往相关研究的朋友,回头可以看下文章开头的“阿司匹林专辑”)
“我在30年前就有一个想法:那些有结直肠癌遗传倾向的人,可以帮助我们了解阿司匹林是否真的可以降低癌症风险。”John Burn教授说[5]。
因此Burn教授决定把林奇综合征患者作为研究对象。林奇综合征又被称为遗传性非息肉病性结直肠癌,这些患者会携带MLH1、MSH2、MSH6、PMS2或EPCAM等基因的致病性突变,这些突变会导致DNA错配修复缺陷。
从目前的数据来看,林奇综合征导致的肠癌占全部肠癌的3%左右。这一比例虽然低,但是80%左右的林奇综合征患者最终会患上结直肠癌。除了肠癌之外,林奇综合征还与子宫内膜癌等多个部位的癌症高发有关。

▲ John Burn教授
经过数年的筹备,1999年,在英国癌症研究所和欧盟等多个组织和机构的支持下,Burn教授领衔的研究团队启动了CAPP2(癌症预防计划)研究。
这个研究于1999年1月到2005年3月之间,在全球范围内的43个临床研究中心招募了1071名林奇综合征患者,其中937人符合入组条件。
最终有861名患者愿意参加这个临床研究,平均年龄42岁。将所有患者随机分成两组,其中一组427人,每天吃600mg阿司匹林,持续2年或者4年(患者自行决定);另一组434人,每天服用安慰剂。
研究的主要终点是阿司匹林干预2年之后,发现的结直肠癌的数量、大小和组织学阶段;次要终点是腺瘤和其他林奇综合征相关肿瘤的大小和数量。

▲ 研究流程图
2008年的时候,在所有的患者都完成阿司匹林干预之后,研究人员分析了一次数据,发现阿司匹林没有预防效果[6]。不过之前有研究发现,阿司匹林的保护作用显现的比较晚,因此研究人员决定延长随访时间。
到2011年,第一个接受阿司匹林干预的患者随访时间到10年,平均随访时间达到4年零7个月的时候,研究人员又分析了一次数据[7]:意向治疗分析显示,与安慰剂相比,阿司匹林对结直肠癌的预防作用依旧不显著。不过,当研究人员只分析那些干预时间超过2年的患者时,终于观察到了阿司匹林的保护作用。
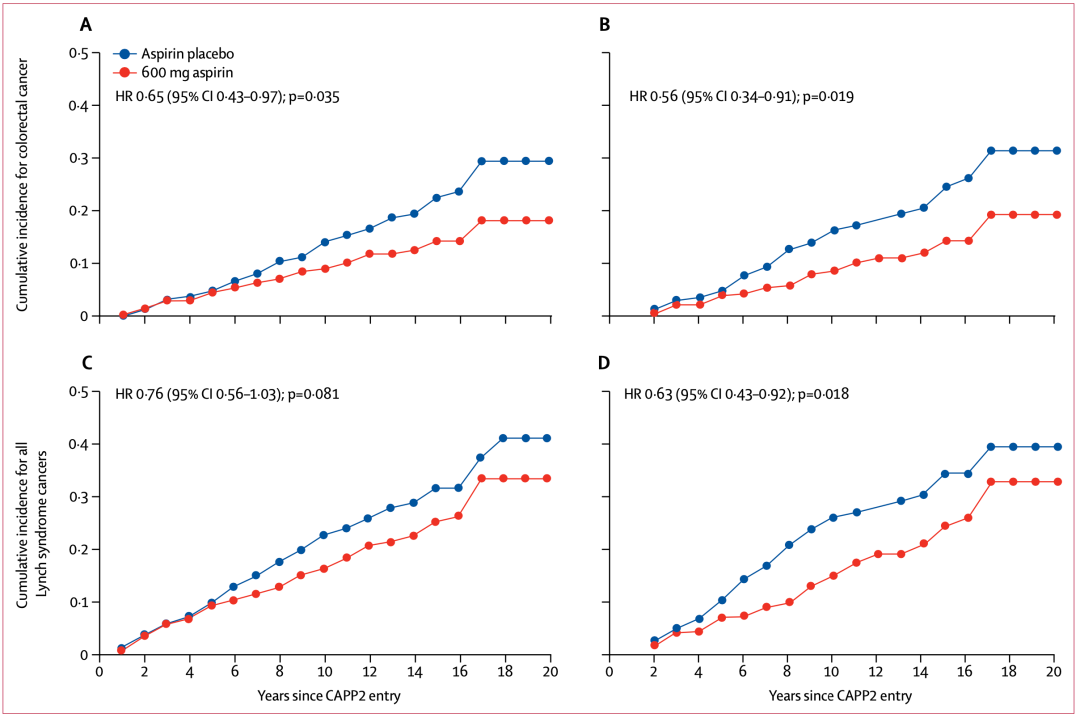
距离第二次数据分析9年之后,研究人员又一次分析了CAPP2研究的数据。这一次,所有的患者随访时间都超过10年,英国、芬兰和威尔士的参与者随访时间甚至长达20年。
总的来看,阿司匹林干预组有74人被确诊为癌症,发病率为17%;安慰剂对照组有89人确诊,发病率为21%。意向治疗分析两组差异不显著,如果只分析服药超过2年以上的患者,阿司匹林组风险降低37%,差异显著。两组的不良事件和依从性相似。

▲ 两组患者不同亚组的数据对比
具体到肠癌而言,阿司匹林干预组有40人被确诊为肠癌,发病率为9%;安慰剂对照组有58人确诊,发病率为13%。意向治疗分析显示,与安慰剂对照组相比,阿司匹林干预组患肠癌的风险降低35%,两组差异显著。如果只分析服药超过2年以上的患者,风险降低44%,发病率直接减半。
在单独分析阿司匹林对其他癌症的预防作用的时候,研究人员没有发现显著的差异。

▲ 阿司匹林在不同肿瘤类型,不同干预时间群体中的效果
基于以上研究结果,哈佛医学院的Andrew Chan和Matthew Yurgelun总结了以下几点[8]:
第一,林奇综合征患者每天口服600mg阿司匹林可大幅降低患肠癌的风险;
第二,阿司匹林的保护效果,在5年之后才显现出来,早期观察不到;
第三,阿司匹林的保护效果持久,可持续20年的时间;
第四,阿司匹林似乎也对子宫内膜癌有预防作用,阿司匹林组7例患者,对照组17例患者,虽然不具有统计学意义,但是值得进一步研究。
实际上,近年来已经有很多指南建议林奇综合征患者考虑使用阿司匹林[9,10],这项研究成果再次强化了上述推荐。
尽管如此,研究人员认为,对于林奇综合征群体而言,阿司匹林的最优剂量和服用时间仍需要进一步研究。因为CAPP2研究入组的患者比较年轻,之前的ASPREE研究发现,阿司匹林在65岁以上的老年人群体中的效果和副作用,与年轻人差异较大[11]。
不过,无论如何,这个研究可能表明,对于林奇综合征群体而言,40岁左右的年纪,可能是最佳的干预时间。
Burn教授表示,他和他的团队正在开展CAPP3研究,这个研究会招募1882名林奇综合征患者,以探讨更小、更安全的阿司匹林剂量是否有一样的防癌效果。

最后,虽然有很多指南的推荐,但是林奇综合征患者在决定服用阿司匹林预防肠癌之前,还是应该先咨询医生,以保证安全和最佳的效果。
我们也期待CAPP3研究取得成功。











































































